FEICHTER AUDIO M2 KIT DE PRISE DE SON BINAURALE
FEICHTER AUDIO M2 KIT DE PRISE DE SON BINAURALE
EN STOCK LIVRABLE SOUS 24 HEURES (Hors option).
Produit conçu, et fabriqué en France à Lannion.
Exemples sonores sur le site du concepteur spécialiste du binaural Pascal RUEFF https://www.binaural.fr/
Système professionnel pour la prise de son binaurale
- Qualité sonore optimale
- Léger, robuste, tenue irréprochable
- Captation complète de l'HRTF
- Incidence faible sur l'audition
- Capsule idéalement maintenue à l’entrée du conduit auditif, derrière le tragus
- Positionnement équilibré à gauche et à droite
- Capsules appairées
- Sortie sur jack stéréo 3,5mm Neutrik® (autre sur demande)
- Longueur du câble de sortie modifiable sur demande
- Port très confortable
- Géométrie du support réglable
- Branches inox 302, câble Mogami®
- Accessoire de fixation pour utiliser le M2 en couple AB
- Bonnette couvre oreille pliable (EN OPTION) + 165 € HT
- Livré en boite de rangement et de protection
- Conçu et fabriqué en France
- Ils ont choisi M2: Opera-Son
- Pression acoustique équivalente du bruit de fond : 18 dBA typique, re. 20 µPa
- Sensibilité nominale à 1 KHz, valeur efficace (avec polarisation de 3V et résistance de 2,2Kohms) : 33 mV/Pa
- Appairage des capsules à ± 0,5 dBSPL
- Alimentation par Plug-In Power 3-10V (compatible avec la majorité des enregistreurs portables et des émetteurs de poche)
- Réponse en fréquence : un système binaural ne peut être mesuré sans la tête et les oreilles qui le porte ; raison pour laquelle, nous montrons les performances du M2 sur une tête artificielle de référence, la Neumann KU100
- En complément, deux autres systèmes binauraux existants sont également mesurés sur la KU100 : une paire de microphones miniatures de qualité, librement logés dans l'oreille et maintenus par leur petite bonnette —système "D"— et une paire de microphones miniatures associés à des écouteurs, maintenus par leur insert intra-auriculaire —système "A"
- [Étude en cours] Un système binaural ne peut être mesuré sans la tête et les oreilles qui le porte. Pour fournir à l'utilisateur une réponse en fréquence cohérente, nous avons choisi de montrer les performances du M2 par rapport à une tête artificielle de référence, la Neumann KU100, et à deux autres systèmes binauraux existants :
- une paire de microphones miniatures de qualité, librement logés dans l'oreille et maintenus par leur petite bonnette (système "D")
- une paire de microphones miniatures associés à des écouteurs, maintenus par leur insert intra-auriculaire (système "A")
- Les mesures présentées ici sont accidentées pour deux raisons :
- elles sont réalisées en intérieur, dans un environnement acoustique de bureau (TR = 450 ms environ), et non en condition anéchoïque, comme dans l'immense majorité des cas en prise de son
- elles montrent évidemment les contributions de la tête et des oreilles (typiques d'une HRTF)
- Plusieurs paramètres déterminent la qualité d'un système binaural :
- l'équilibre gauche-droite(réponse comparée des microphones gauche et droit)
- la répétabilité des réponses(placement similaire des microphones d'une fois sur l'autre)
- le delta par rapport aux conditions d'écoute naturelle(considérées par rapport à l'entrée du conduit auditif)
- et enfin, l'impact acoustique de l'objet microphonique inséré dans le creux de l'oreille (et de son influence sur les résonateurs de l'oreille)
- Les réponses présentées ici montrent donc :
- la réponse des trois systèmes binauraux (dont le M2), comparés aux réponses obtenues avec la tête Neumann KU100 : permet d'apprécier la qualité de placement et l'impact acoustique des objets insérés dans le creux des oreilles
- la réponse comparée des oreilles gauche et droite : permet d'apprécier l'équilibre gauche-droit
- la réponse comparée des oreilles gauche et droite pour quatre sessions de mesure (les mesures sont réalisées quatre fois en enlevant chaque système et le remettant à chaque fois) : permet d'apprécier la répétabilité
- Les conditions de mesure sont les suivantes :
- Sweep de 60 Hz à 20 kHz, émis 4 fois pour chaque direction, par une enceinte 2 voies placée à 70 cm, à une pression d'environ 100 dBSPL mesurée à l'oreille de la tête artificielle ; les oreilles de la tête artificielle sont à la hauteur du centre acoustique de l'enceinte
- 8 directions sont testées dans le plan horizontal (0°, 45°, 90°, 135°, 180°, 225°, 270°et 315°) ; la précision de rotation de la tête est garantie par une rotule panoramique à bille (crans à 45°)
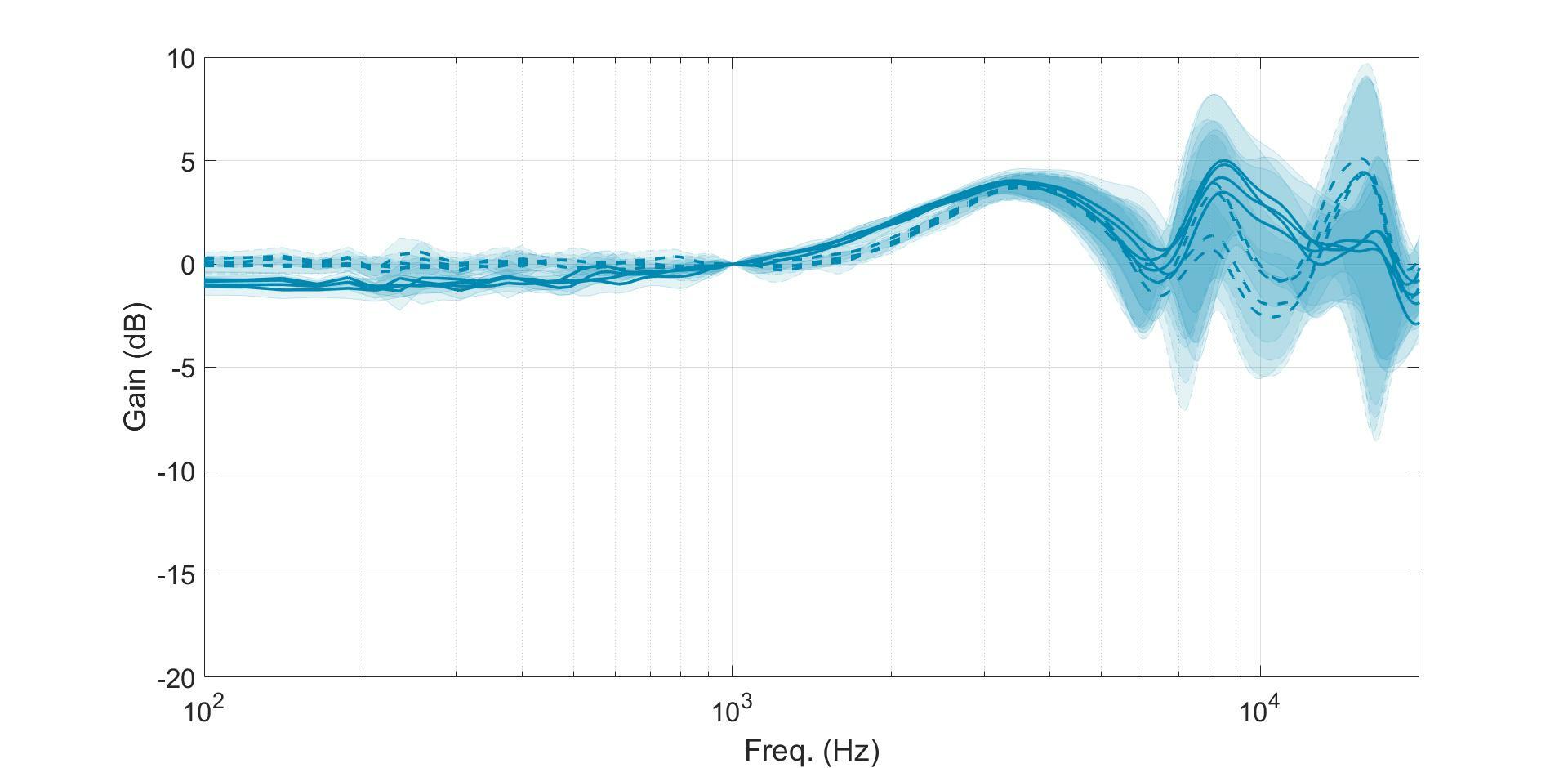
- Réponse et écart-type de la tête de référence dans les conditions de mesures ; oreille gauche (trait plein) et oreille droite (pointillé)
Réponse et écart-type de la tête de référence
dans les conditions de mesures ; disparité des quatre sessions de mesures, oreille gauche (trait plein) et oreille droite (pointillé).
Réponse moyenne (oreille gauche + droite) et écart-type du système M2
par rapport à la tête de référence
dans les conditions de mesures ; M2(bleu foncé) et tête de référence(bleu clair)
Réponse moyenne (oreille gauche + droite) et écart-type du système " D" (microphones omnis libres) par rapport à la tête de référence dans les conditions de mesures ; " D" (vert) et tête de référence(bleu clair)
Réponse moyenne (oreille gauche + droite) et écart-type du système " A" (microphones omnis associés à des écouteurs intra-auriculaires) par rapport à la tête de référence
dans les conditions de mesures ; " A" (vert) et tête de référence(bleu clair)
Delta de réponse et écart-type du système M2
par rapport à la tête de référence
dans les conditions de mesures ; oreille gauche (trait plein) et oreille droite (pointillé)
Delta de réponse et écart-type du système " D" (microphones omnis libres) par rapport à la tête de référence dans les conditions de mesures ; oreille gauche (trait plein) et oreille droite (pointillé)
Delta de réponse et écart-type du système " A" (microphones omnis associés à des écouteurs intra-auriculaires) par rapport à la tête de référence
dans les conditions de mesures ; oreille gauche (trait plein) et oreille droite (pointillé)
Delta de réponse et écart-type du système M2
par rapport à la tête de référence
dans les conditions de mesures ; disparité des quatre sessions de mesures, oreille gauche (trait plein) et oreille droite (pointillé)
Delta de réponse et écart-type du système " D" (microphones omnis libres) par rapport à la tête de référence
dans les conditions de mesures ; disparité des quatre sessions de mesures, oreille gauche (trait plein) et oreille droite (pointillé)
Delta de réponse et écart-type du système " A" (microphones omnis associés à des écouteurs intra-auriculaires) par rapport à la tête de référence
dans les conditions de mesures ; disparité des quatre sessions de mesures, oreille gauche (trait plein) et oreille droite (pointillé)
